Physiological responses of coffee plants at initial vegetative growth submitted to mepiquat chloride and water avaiability

Authors

  • Jefferson Luan Dias dos Santos Universidade Estadual do Sudoeste da Bahia
  • Sylvana Naomi Matsumoto Universidade Estadual do Sudoeste da Bahia
  • Carmem Lacerda Lemos Brito Universidade Estadual do Sudoeste da Bahia
  • Jerffson Lucas Santos Universidade Estadual do Sudoeste da Bahia
  • Luan Santos de Oliveira Universidade Estadual do Sudoeste da Bahia

DOI:

https://doi.org/10.25186/cs.v10i4.947

Keywords:

Growth regulator, gibbeerellin, water stress

Abstract

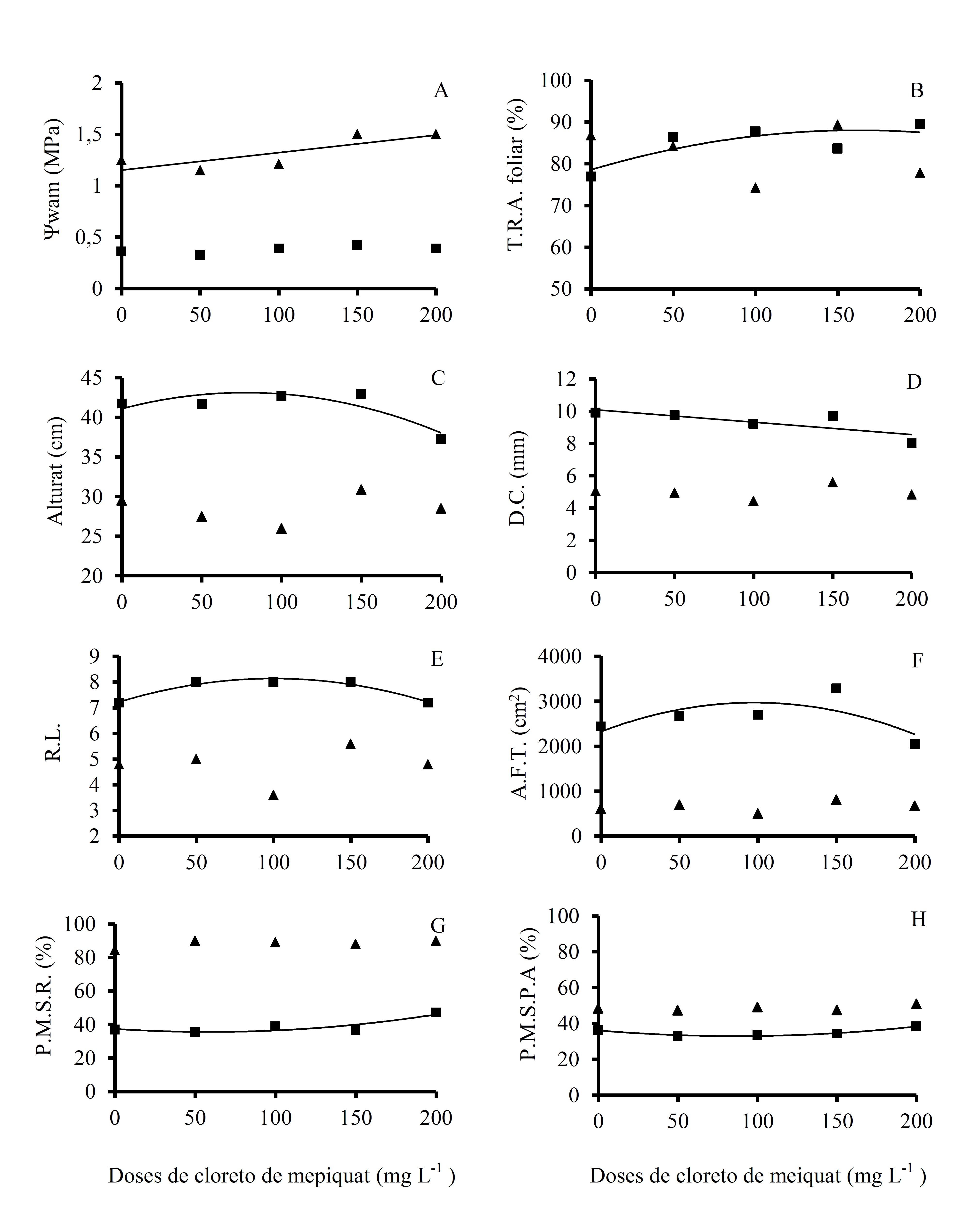
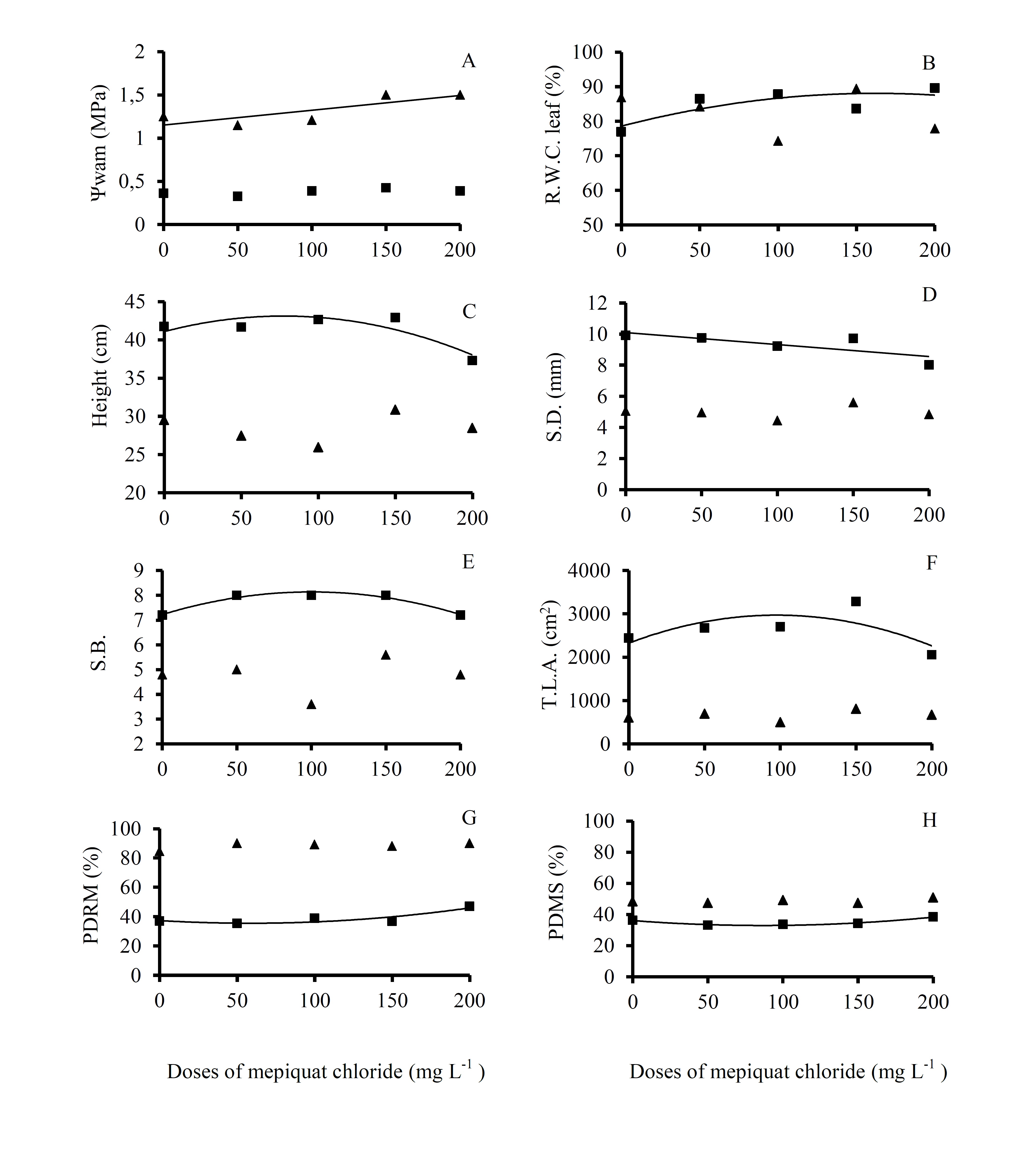
The aim of this work was to investigate growth alteration induced by foliar application of mepiquat chloride of coffee plants cv. Catuaí Vermelho 144 IAC under different water regimes. The trial was carried out in the experimental area of the State University of Southwest Bahia, Vitória da Conquista campus, from January 2014 to April 2014. Two assays characterized by availability and water restriction, were defined by ranging from two and 15 days consecutive periods after which the field capacity was reestablished. The experimental design was a randomized block, represented by five concentrations of mepiquat chloride (0; 50; 100; 150; 200 mg a. e. L-1) applied by foliar sprinkling, with five replicates. Foliar sprinkling of mepiquat chloride provides morphological and physiological changes in coffee plants, reduced vegetative growth and increased the percentage of root dry matter. These alterations are dependent on the applied dose and the water regime. Under a longer period of water restriction doses up to 200 mg a. e. L-1 of mepiquat chloride applied in coffee canopy raises the water potential modulus, but has little relevance to the initial vegetative growth of Arabica coffee plants cv. Catuaí Vermelho.

Author Biographies

Jefferson Luan Dias dos Santos, Universidade Estadual do Sudoeste da Bahia

http://lattes.cnpq.br/0221970784989277

Sylvana Naomi Matsumoto, Universidade Estadual do Sudoeste da Bahia

http://lattes.cnpq.br/1599330040151872

Carmem Lacerda Lemos Brito, Universidade Estadual do Sudoeste da Bahia

 http://lattes.cnpq.br/7028634505242136

Jerffson Lucas Santos, Universidade Estadual do Sudoeste da Bahia

http://lattes.cnpq.br/1334068873900088

Luan Santos de Oliveira, Universidade Estadual do Sudoeste da Bahia

http://lattes.cnpq.br/3260367925690640

References

AHMED, M. A. AHMED, M. K. A., SHALABY, M. A. F. Alleviation of water stress effects on wheat by mepiquat chloride. International Journal of Agriculture and Biology, [S.l.], v.7, n.3, p. 451-456. 2005.

ALMEIDA, A.Q.; ROSOLEM, C.A. Cotton root and shoot growth as affected by application of mepiquat chloride to cotton seeds. Acta Scentiarum Agronomy, Maringá, vol. 34, n. 1, p.61-65, mar. 2012.

AWATI, M. G et al. Influence of foliar application of mepiquat chloride and ethephon on flowering and crop yield in Arabica coffee. Journal of Coffee Research, [S.l.], v. 35, n1-2, p. 1-9. 2007.

BLISKA, F. M. M et al. Custo de produção do café nas principais regiões produtoras do país. Informações Econômicas, São Paulo, v. 39, n. 09, p. 5-20, 2009.

BRUM, C. N. F. et al. Modifications in the metabolism of carbohydrates in Coffea arabica L. cv. Siriema seedlings under drought conditions. Coffee Science, Lavras, v. 8, n. 2, p. 140-147, abr-jun. 2013.

CONAB, COMPANHIA NACIONAL DE ABASTECIMENTO. Acompanhamento da safra brasileira : café – v. 1, n. 1 (2014 ) – Brasília : Conab, 2014- v. Disponível em: <http://www.conab.gov.br>. Acesso em 11/10/2014.

CATSKY, J. Determination of water deficit in disks cut out from leaf blades. Biologia Plantarum, [S.l.], p. 76 – 78, 1960.

CORDÃO SOBRINHO, F. P. et al. Crescimento e rendimento do algodoeiro BRS-200 com aplicações de cloreto de mepiquat e lâminas de irrigação. Revista Brasileira de Engenharia Agrícola e Ambiental, Campina Grande, v. 11, n. 03, p.284-292, jun. 2007.

COTHREN, J. T.; OOSTERHUIS, D. M. Use of growth regulators in cotton production. In: STEWART, J. M.; OOSTERHUIS, D. Physiology of cotton. New York: Springer, 2009. p. 289-303.

DA MATTA, F. M. et al. Ecophysiology of coffee growth and production. Brazilian Journal of Plant Physiology, Campos dos Goytacazes, v. 19, n. 04, p. 485-510, set./dez. 2007.

DANIEL, G et al. Effect of foliar application of mepiquat chloride and ethephon on floral bud induction and crop yield in robusta coffee. Journal of Coffee Research, [S.l.], v. 36, n. 1-2, p. 60-63, 2008.

DANIEL, G. et al. Effect of foliar application of Lantana camara leaf extract and chlormequat chloride (CCC) for drought tolerance in robusta coffe. Journal of Coffee Research, [S.l.], v. 38, n.1-2, p. 48-58, 2010.

FERNANDEZ, C.J. COTHREN, J.T., MCINNES, K.J. Carbon and water economies of wellwatered and water deficient cotton plants treated with mepiquat chloride. Crop Science. Madison, v.32, n.1, p.175-80, 1992.

FERNADEZ, C.J., COTHREN, J.T., McINNES, K.J. Partitioning of biomass in well-wantered and water-stressed cotton plants treated with mepiquat chloride. Crop Science, Madison, v.31, n.5, p.1224-8, 1991.

FERREIRA, A. C. B. et al. Water déficit in cotton plant originated from seed treated with growth regulator. Pesquisa Agropecuária Brasileira, Brasília, v. 43, n.4, p. 417-423. 2014.

GRISI, F. A. et al. Avaliações anatômicas e foliares em mudas de café Catuaí e Siriema submetidas ao estresse hídrico. Ciência e Agrotecnologia, Lavras, v. 32, n.6, p. 1730-1736. 2008.

KAPPES, C. et al. Uso de reguladores de crescimento no desenvolvimento e produção de Crotalária. Pesquisa Agropecuária Tropical, Goiânia, v. 41, n. 4, p. 508-518, out./dez. 2011.

MATEUS, G. P.; LIMA, E. do V.; ROSOLEM, C. A. Perdas de cloreto de mepiquat no algodoeiro por chuva simulada. Pesquisa Agropecuária Brasileira, Brasília, v. 39, n. 7, p. 631-636, jul. 2004.

MAIA, M. R. Zoneamento geoambiental do município de Vitória da Conquista - BA: um subsídio ao planejamento. 2005. 169f. Dissertação (Mestrado em Geografia) – Universidade Federal da Bahia, Salvador, 2005.

MALLIKARJUN, G. et al. Influence of foliar application of mepiquat chloride and ethephon on flowering and crop yield in arabica coffee. Journal of Coffee Research, [S.l.], v. 35, n. 1, p. 1- 9, 2007.

OLIVEIRA, L. S. et al. Crescimento inicial de cafeeiros sob restrição e pulverização com cloreto de meopiquat. In: Simpósio de Pesquisas dos Cafés do Brasil, 7., 2013, Salvador. Resumos Expandidos… Brasília: Embrapa Café; MINASPLAN, 2013. V.2, p. Disponível em: <http://www.sapc.embrapa.br/arquivos/consorcio/spcb_anais/simposio8/89.pdf>. Acesso em: 01 jan. 2015.

RAIJ B. V. et al. Análise química para avaliação da fertilidade de solos tropicais. Campinas: Instituto Agronômico de Campinas, 2001. 285p.

ROSOLEM, C. A.; OOSTHERUIS,, D. M.; SOUZA, F. S. Cotton response to mepiquat chloride and temperature. Scientia Agricola, Piracicaba, v. 70, n.2, p. 82-87. 2013.

SCHOLANDER, P.F. et al. Hydrostatic pressure and osmotic potencials in leaves of mangroves and some other plants. Proceedings of the National Academy Science, [S.l.], v.51, p.119-125, 1965.

SILVA, B. B.; RAO, T. V. R. The CWSI variations of a cottoncrop in a semi-arid region of Northeast Brazil. Journal of Arid Environments, [S.l.], v. 62, n. 04, p. 649-659, 2005.

SRIDHAR, G. et al. Effect of naphthalene acetic acid and mepiquat chloride on physiological components of yield in bell pepper (Capsicum annuum L.). Journal of Agricultural Research, [S.l.], v. 4, n.1, p. 53-62. 2009.

YEATS, S. J.; CONSTABLE, G. A.; MCCUMSTIE, T. Cotton growth and yield after seed treatment with mepiquat chloride in the tropical winter season. Field Crops Research, Maryland Heights, v. 93, n. 2-3, p. 122- 131, 2005.

Published

2015-10-05

How to Cite

SANTOS, J. L. D. DOS; MATSUMOTO, S. N.; BRITO, C. L. L.; SANTOS, J. L.; SANTOS DE OLIVEIRA, L. Physiological responses of coffee plants at initial vegetative growth submitted to mepiquat chloride and water avaiability. Coffee Science - ISSN 1984-3909, v. 10, n. 4, p. 482 - 490, 5 Oct. 2015.

Issue

Section

Articles