Rainfall erosion and compartments soil organic matter in coffee systems conservationist and convetional

Authors

  • Gabriel Pinto Guimarães UNIVERSIDADE FEDERAL DO ESPÍRITO SANTO
  • klinger Oliveira Chaves UNIVERSIDADE FEDERAL DO ESPÍRITO SANTO
  • Eduardo de Sá Mendonça UNIVERSIDADE FEDERAL DO ESPÍRITO SANTO

DOI:

https://doi.org/10.25186/cs.v10i3.891

Keywords:

Coffee cultivation, soil organic matter, soil conservation

Abstract

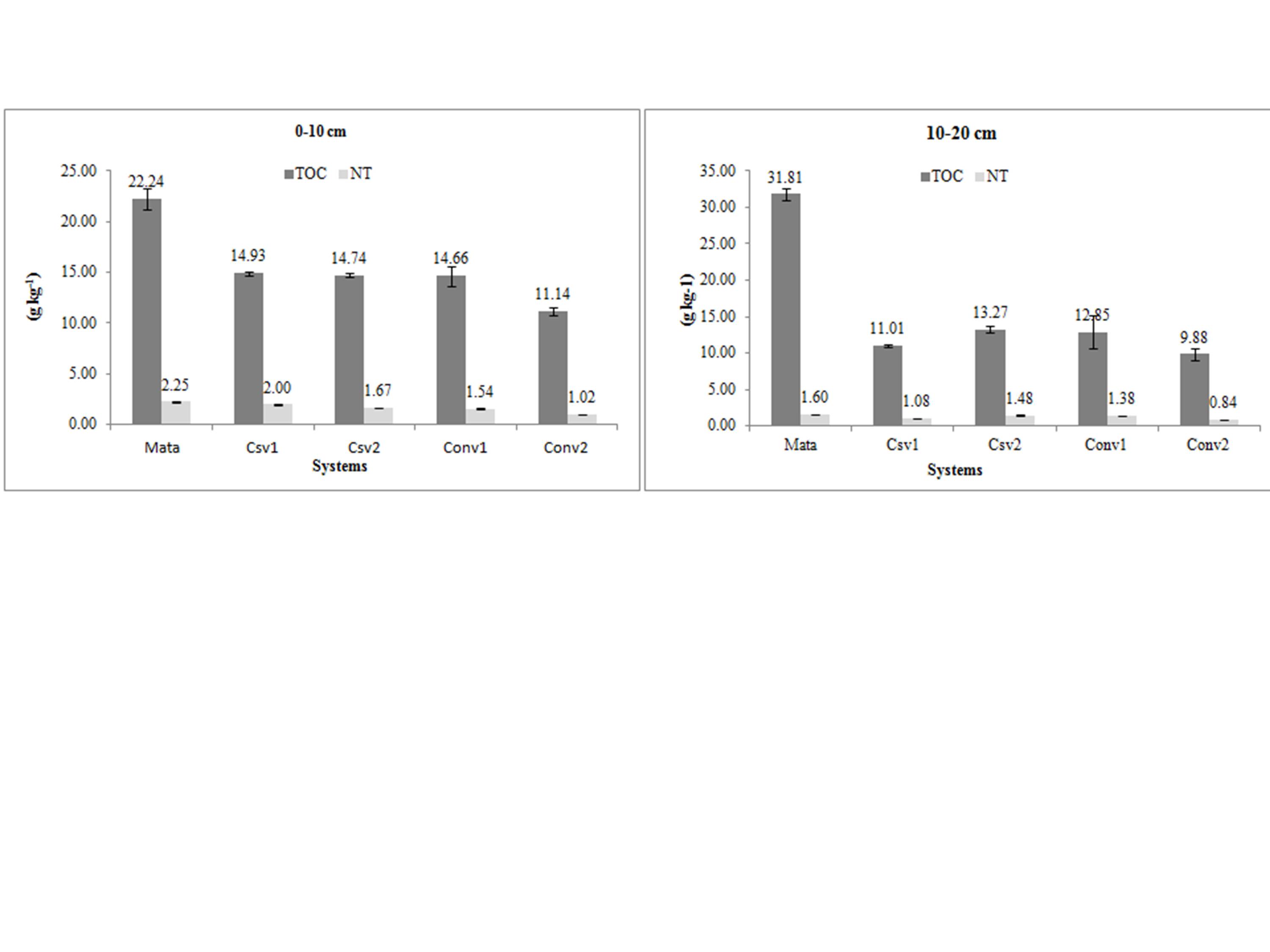
This study aimed to evaluate the losses of soil, water, carbon (C) and nitrogen (N) and the compartments of soil organic matter (SOM) in coffee systems belonging to the Atlantic Rainforest biome south of state of Espírito Santo. Four coffee agroecosystems were evaluated: conservationist 1 (Csv1), conservationist 2 (Csv2), conventional 1 (Conv1), conventional 2 (conv2) and field of Atlantic Forest (Mata). Evaluations of loss by water erosion under natural rainfall condition were carried from july to december 2012 and 2013. Soil samples were collected at 0-10 and 10-20 cm for evaluation of TOC, NT and compartments of SOM. The results showed that precipitation of 540,8 mm occurred during the 6 month of evaluation in 2012 promoted losses water in 1110, 2740, 6270 and 5930 mm ha-1 for Csv1, Csv2, Conv1 and Conv2, respectively, since soil losses for these respective systems were 2,87; 2,85; 152,13 and 21,17 kg ha-1. For precipitation of 669,4 mm occurred during july to december 2013 the water total losses were 203, 2900, 4750, 6270 and 8620 mm ha-1 for Mata, Csv1, Csv2, Conv1, Conv2, respectively. Conventional systems showed total average loss of 3363 g C ha-1 and 282 g ha-1 of N in the soil eroded in 2012. Conservationists systems showed C levels of microbial biomass pool 253 times higher compared to conventional systems in the 0-10 cm depth.

Author Biographies

Gabriel Pinto Guimarães, UNIVERSIDADE FEDERAL DO ESPÍRITO SANTO

CCA-UFES

klinger Oliveira Chaves, UNIVERSIDADE FEDERAL DO ESPÍRITO SANTO

CCA-UFES

Eduardo de Sá Mendonça, UNIVERSIDADE FEDERAL DO ESPÍRITO SANTO

CCA-UFES

References

NUNES, L. A. P. L. et al. Impacto do monocultivo de café sobre os indicadores biológicos do solo na zona da mata mineira. Ciência Rural, v.39, n.9, p. 2467 a 2474, 2009.

PAULA, M.; CABANÊS, P.; FERRARI, J. Desgaste superficial do solo em cafeicultura capixaba de montanha em função do manejo da vegetação espontânea. Engenharia Ambiental, v.10, n.2, p.90-104, 2013.

PEREZ, A. M. et al. Impactos da implementação de um sistema agroflorestal com café na qualidade do solo. Agropecuária Técnica, v.25, n.1, p.25-36, 2004.

PROCHNOW, D. et al. Razão de perdas de terra e fator c da cultura do cafeeiro em cinco espaçamentos, em Pindorama (SP). Revista Brasileira de Ciência do Solo, v.29, p.91-98, 2005.

RANGEL, O. J. P. et al. Frações oxidáveis do carbono orgânico do Latossolo cultivado com cafeeiro em diferentes espaçamentos de plantio. Ciência &Agrotecnologia, v.32, p. 429-437, 2008.

RANGEL, O. J. P. et al. Estoque e frações da matéria orgânica de Latossolo cultivado com cafeeiro em diferentes espaçamentos de plantio. Revista Brasileira de Ciência do Solo, v.31, p.1341-1353, 2007.

RIBEIRO, M. C. et al. The Brazilian Atlantic Forest: how much is left, and how is the remaining forest distributed?: implications for conservation. Biological Conservation, Essex, v. 142, n. 6, p. 1141-1153, 2009.

SILVA, I. R.; MENDONÇA, E. S. Matéria Orgânica do Solo. In: NOVAIS, R. F. et al. Fertilidade do Solo. 1.ed. Viçosa, MG, Sociedade Brasileira de Ciência do Solo, 2007. p.275-374.

Published

2015-08-04

How to Cite

GUIMARÃES, G. P.; CHAVES, KLINGER O.; MENDONÇA, E. DE S. Rainfall erosion and compartments soil organic matter in coffee systems conservationist and convetional. Coffee Science - ISSN 1984-3909, v. 10, n. 3, p. 365 - 374, 4 Aug. 2015.

Issue

Section

Articles