Morphological plasticity of three coffee cultivars under light gradient

Authors

  • Fábio Ricardo Coutinho Fontes César Universidade de São Paulo, Escola Superior de Agricultura Luiz de Queiroz (ESALQ/USP)
  • Sylvana Naomi Matsumoto Universidade Estadual do Sudoeste da Bahia
  • Anselmo Eloy Silveira Viana
  • Joice Andrade Bonfim

DOI:

https://doi.org/10.25186/cs.v8i2.376

Keywords:

Coffea arabica, shading, insolation, ecophysiology

Abstract

The aim of this study was to fill in gaps in knowledge regarding the interaction among shading systems, stages of development and cultivars on the initial growth of coffee plantlets, with due attention to adequate mathematical models, and to allow interpretations in light of currently emerging knowledge on this theme. The cultivars Catuaí (IAC 144), Catucaí 2SL, and Acauã were subjected to levels of light restriction of 30%, 50%, and 70%, and to full sunlight. The experiment was conducted
from January to June 2007 in the experimental field at the Universidade Estadual do Sudoeste da Bahia – UESB, Vitória da Conquista, the state of Bahia, Brazil. In each trial defined by level of light restriction, a randomized block experimental design was used with five replicates, and the treatments were arranged in a split-plot design in which the main plot consisted of cultivars and the assessment times constituted the split-plots. Each experimental unit consisted of 12 plants. Vegetative
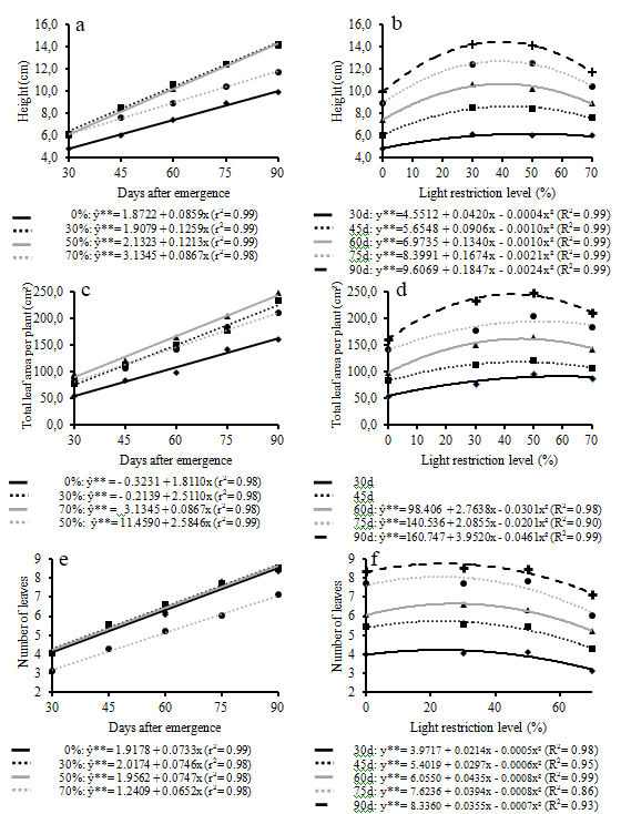
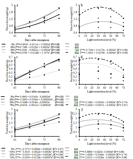
development assessments began 30 days after emergence and were conducted at 15-day intervals until 90 days. The light restriction levels and assessment periods, as well as the interaction between those factors, affected all the growth characteristics evaluated. With the exception of stem diameter, all other growth parameters had similar behavior in relation to the number of days after emergence and levels of light restriction. In general, the morphological changes in the initial growth of the coffee plantlet were more intense under light restriction values from 30% to 50%, and Catucaí 2SL presented greater development in comparison to Catuaí (IAC 144) and Acauã.

Author Biographies

Fábio Ricardo Coutinho Fontes César, Universidade de São Paulo, Escola Superior de Agricultura Luiz de Queiroz (ESALQ/USP)

Engenheiro Agrônomo, Programa de Pós graduação em Solos e Nutrição de Plantas

Sylvana Naomi Matsumoto, Universidade Estadual do Sudoeste da Bahia

Possui graduação em Engenharia Agronômica pela Universidade de São Paulo (1985), mestrado em Agronomia (Horticultura) pela Universidade Estadual Paulista Júlio de Mesquita Filho (1988) e doutorado em Ciências Agrárias (Fisiologia Vegetal) pela Universidade Federal de Viçosa (1999). Atualmente é professor adjunto da Universidade Estadual do Sudoeste da Bahia. Tem experiência na área de Agronomia, com ênfase em Fisiologia de Plantas Cultivadas, atuando principalmente nos seguintes temas: arborização em cafezais e ecofisiologia vegetal.

Published

2013-12-24

How to Cite

COUTINHO FONTES CÉSAR, F. R.; MATSUMOTO, S. N.; ELOY SILVEIRA VIANA, A.; ANDRADE BONFIM, J. Morphological plasticity of three coffee cultivars under light gradient. Coffee Science - ISSN 1984-3909, v. 8, n. 2, p. 121-131, 24 Dec. 2013.

Issue

Section

Articles