MODELING DYNAMIC ADSORPTION ISOTHERMS AND THERMODYNAMIC PROPERTIES OF SPECIALTY GROUND ROASTED-COFFEE (Coffee Arabica L.)

Authors

  • Gentil Andres Collazos-Escobar Universidad Surcolombiana - CESURCAFE
  • Nelson Gutiérrez-Guzman Universidad Surcolombiana - CESURCAFE http://orcid.org/0000-0003-2499-8066
  • Henry A. Vaquiro Herrera Universidad del Tolima

DOI:

https://doi.org/10.25186/cs.v14i1.1532

Keywords:

Roasted coffee, Water activity, Equilibrium moisture content, Hygroscopicity

Abstract

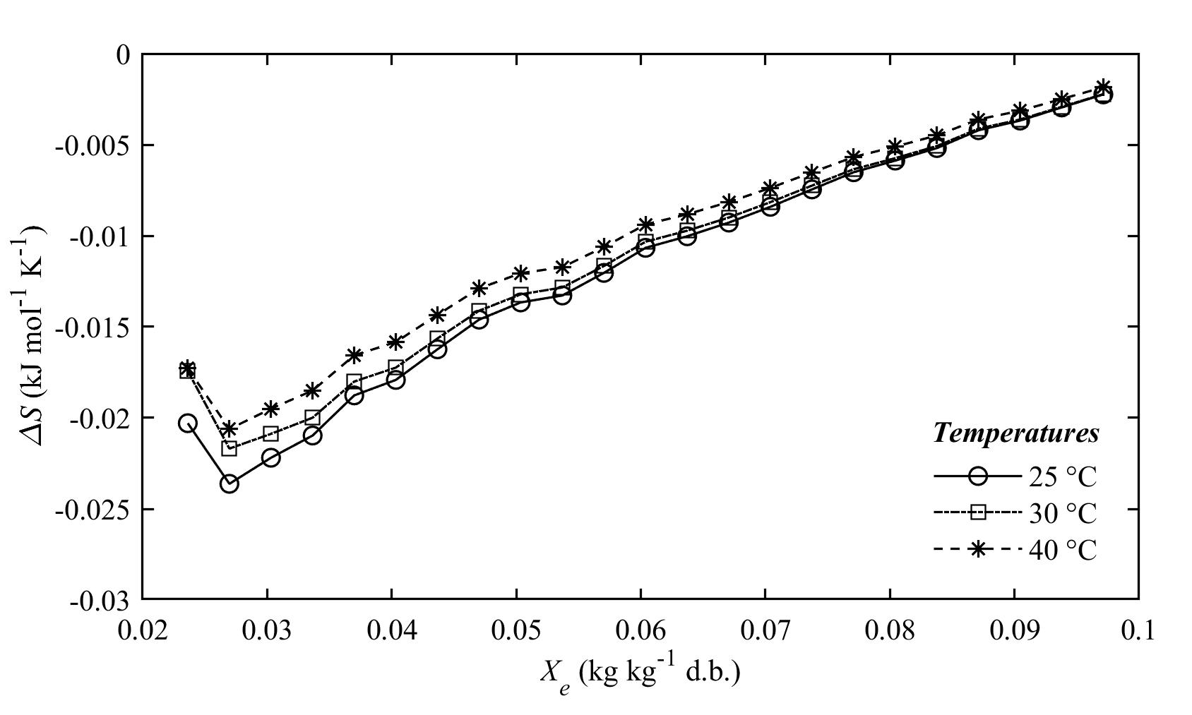
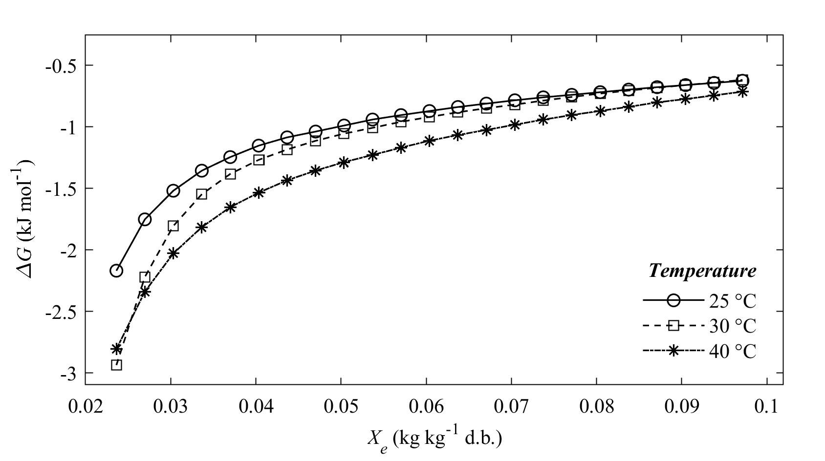
Specialty coffee is highly differentiated product because of  its sensorial attributes: aroma, body and brand reputation. In specialized markets, these products are highly valued, and sometimes up to six times their commercial value is paid. Thus, it is essential to preserve their freshness. Sorption isotherms are necessary for determining and studying water sorption changes in specialty coffee during storage. This study aimed to determine the adsorption isotherms of specialty ground roasted-coffee at temperatures of 25 °C, 30 °C and 40 °C and water activities between 0.1 and 0.8 using the dynamic dewpoint method (DDI). The experiment sorption data were modeled using 12 different equations with non-linear regression to represent the dependence of the equilibrium moisture content with both water activity and temperature. In addition, the thermodynamic properties were determined with the experiment adsorption data. The results showed that type III isotherms were obtained according to the Brunauer classification, and the Weibull equation satisfactorily modeled the effect of the temperature on the hygroscopic equilibrium in the specialty ground roasted-coffee. The results of thermodynamic analysis showed that the net isosteric heat of adsorption and Gibbs free energy decreased as the equilibrium moisture content increased, indicating the amount of energy released, a strong bond energy between water molecules in the product components and spontaneity in the adsorption process. The entropy of the adsorption increased with the moisture content, leading to product stability conditions during storage. The results were similar to those reported for the roasted and ground coffee of others cultivars.

Author Biography

Nelson Gutiérrez-Guzman, Universidad Surcolombiana - CESURCAFE

Postdoctorado Universidad Politecnica de Valencia
Tecnología de Alimentos
Febrerode2012 - Juniode 2012
Analisis y control de calidad en pescado

Doctorado Universidad Politecnica de Valencia
Doctorado tecnologia de alimentos
Enerode2002 - Noviembrede 2008
Identificación y priorización de factores críticos para implantar buenas prácticas agrícolas en productores de café y frutas en el departamento del Huila en Colombia

Maestría/Magister Universidad Politecnica de Valencia
Master ciencia ingenieria de alimentos
Enerode2002 - de 2002

Pregrado/Universitario Universidad Surcolombiana
Ingenieria agricola
Enerode1985 - de 1991

References

BAPTESTINI, M. F.; CORRÊA, P. C.; HORTA DE OLIVEIRA, G. H.; CECON, P. R.; SOARES, F. N. D. Kinetic modeling of water sorption by roasted and ground coffee. Acta Scientiarum, Maringá, v. 39, n. 3, p. 273-281, July-Sept., 2017. DOI: 10.4025/actasciagron.v39i3.32576.

BASTIOĞLU, A. Z.; KOÇ, M.; ERTEKIN, F. G. Moisture sorption isotherm of microencapsulated extra virgin olive oil by spray drying. Food Measure, 2017. DOI: 10.1007/s11694-017-9507-4

BON, J.; VAQUIRO, H. A.; MULET, A. Modeling sorption isotherms and isosteric heat of sorption of Mango pulp cv. tommy atkins. Biotecnología en el Sector Agropecuario y Agroindustrial. Vol 10 No. 2 (34 - 43) 2012. Available on: <http://www.scielo.org.co/scielo.php?script=sci_arttext&pid=S1692-35612012000200005>. Access in: 21 oct. 2018.

BONNER, I. J.; KENNEY, K. L. Moisture sorption characteristics and modeling of energy sorghum (Sorghum bicolor L.) Moench. Journal of Stored Products Research, 2013. DOI: http://dx.doi.org/10.1016/j.jspr.2012.11.002

BRUNAUER, S.; DEMING, S. L.; DEMING, E. W.; TELLER, E. On a theory of the Van der Waals Adsorption of Gases. J. Am. Chem. Soc, 1940. DOI: 10.1021/ja01864a025

CABALLERO-CERÓN, C.; SERMENT-MORENO, V.; VELAZQUEZ, G.; TORRES, J. A.; WELTI-CHANES, J. Hygroscopic properties and glass transition of dehydrated Mango, apple and Banana. J Food Sci Technol, 2017. DOI: https://doi.org/10.1007/s13197-017-2963-3

CANO-HIGUITA, D. M.; VILLA-VÉLEZ, H. A.; TELIS-ROMERO, J.; VÁQUIRO, H. A.; NICOLETTI, T. V. R. Influence of alternative drying aids on watersorption of spray dried mango mix powders: A thermodynamic approach. Food and Bioproducts Processing 93 (2015) 19–28, 2015. DOI: http://dx.doi.org/10.1016/j.fbp.2013.10.005

CORRÊA, P. C.; GONELI, L. A.; JUNIOR, A.; OLIVEIRA, H. G.; VALENTE, D. Moisture sorption isotherms and isosteric heat of sorption of coffee in different processing levels. International Journal of Food Science and Technology, 2010. DOI: 10.1111/j.1365-2621.2010.02373.x

DOMIAN, E.; BRYNDA-KOPYTOWSKA, A.; CIESLA, J.; GÓRSKA, A. Effect of carbohydrate type on the DVS isotherm-induced phase transitions in spray-dried fat-filled pea protein-based powders. Journal of Food Engineering, 2018. DOI: https://doi.org/10.1016/j.jfoodeng.2017.11.012

DI DONFRANCESCO, B.; GUTIERREZ-GUZMAN, N.; CHAMBERS, E. Comparison of results from cupping and descriptive sensory analysis of colombian brewed coffee. Journal of Sensory Studies, 2014. DOI:10.1111/joss.12104

EIM, V. S.; ROSSELLO, C.; FEMENIA, A.; SIMAL, S. Moisture Sorption Isotherms and Thermodynamic Properties of Carrot. International Journal of Food Engineering, 2011. DOI: 10.2202/1556-3758.1804

FERREIRA DE SOUZA, J. S.; VAQUIRO, H. A; VILLA-VÉLEZ, A. H.; POLACHINI, C. T.; TELIS-ROMERO, J. Physical, Thermal and Water-Sorption Properties of Passion Fruit Seeds. International Journal of Food Engineering, 2014. DOI: 10.1515/ijfe-2014-0138

GARCÍA-PÉREZ, J. V.; CÁRCEL, J. A.; CLEMENTE, G.; MULET, A. Water sorption isotherms for lemon peel at different temperatures and isosteric heats. Swiss Society of Food Science and Technology, 2008. DOI: 10.1016/j.lwt.2007.02.010

IACCHERI, E.; LAGHI, L.; CEVOLI, C.; BERARDINELLI, A.; RAGNI, L.; ROMANI, S.; ROCCULI, P. Different analytical approaches for the study of water features in green and roasted coffee beans. Journal of Food Engineering, 2015. DOI: https://doi.org/10.1016/j.jfoodeng.2014.08.016

KHAWAS, P.; CHANDRA, D. S. Moisture sorption isotherm of underutilized culinary banana flour and its antioxidant stability during storage. Journal of Food Processing and Preservation, 2016. DOI:10.1111/jfpp.13087

KREUML, M. T. L.; MAJCHRZAK, D.; PLOEDERL, B.; KOENIG, J. Changes in sensory quality characteristics of coffee during storage. Food Science & Nutrition, 2013. DOI: 10.1002/fsn3.35

LABUZA, P. T.; ALTUNAKAR, B. Water Activity Prediction and Moisture Sorption Isotherms. Water Activity in Foods: Fundamentals and Applications, Chapter 5, 2007. DOI: 10.1002/9780470376454.ch5

MARTÍNEZ-LAS HERAS, R. A.; HEREDIA, M. L.; CASTELLÓ, A. A. Moisture sorption isotherms and isosteric heat of sorption of dry persimmon leaves. Food Bioscience-ScienceDirect, 2014. DOI: http://dx.doi.org/10.1016/j.fbio.2014.06.002

MOREIRA, R.; CHENLO, F.; SINEIRO, J.; ARUFE, S.; SEXTO, S. Water sorption isotherms and air drying kinetics of fucus vesiculosus brown seaweed. Journal of Food Processing and Preservation, 2016. DOI: 10.1111/jfpp.12997

MOUSA, W.; MOHAMAD, F.; JINAP, S. G.; MOHD, H.; RADU, S. Sorption isotherms and isosteric heats of sorption

of Malaysian paddy. J Food Sci Technol, 2012. DOI: 10.1007/s13197-012-0799-4

OLIVEIRA, G. H.; CORRÊA, P. C.; RODRIGUES DE OLIVEIRA, A. P.; BAPTESTINI, F. M.; VARGAS-ELÍAS, G. A. Roasting, grinding, and storage impact on thermodynamic properties and adsorption isotherms of arabica coffee. Journal of food processing and preservation, 2016. DOI:10.1111/jfpp.12779

PROKOPIUK, D.; MARTÍNEZ-NAVARRETE, N.; ANDRÉS, A.; CHIRALT, A.; CRUZ, G. Influence of Roasting on the Water Sorption Isotherms of Argentinean Algarroba (Prosopis alba Griseb) Pods. International Journal of Food Properties, 2010. DOI: 10.1080/10942910902742055

SPECIALTY COFFEE ASSOCIATION OF AMERICA. SCAA. Protocols: coffee cupping standards. Version Feb. 2018. Available on: . Access in: 2 Mar. 2018.

SCHMIDT, S. J.; LEE, W. J. Comparison Between Water Vapor Sorption Isotherms Obtained Using The New Dynamic Dewpoint Isotherm Method and those Obtained Using The Standard Saturated Salt Slurry Method. International Journal of Food Properties 15(1-2):236-248, 2012. DOI: 10.1080/10942911003778014

SHIGEHISA, T.; INOUE, T.; KUMAGAI, H. Matematical model of water sorption isotherms of UBC. Fuel Processing Technology, 2015. DOI: http://dx.doi.org/10.1016/j.fuproc.2014.11.023

SHITTU, T. A.; IDOWU-ADEBAYO, F.; ADEDOKUN, I. I.; ALADE, O. Water vapor adsorption characteristics of starch-albumen powder and rheological behavior of its paste. Nigerian Food Journal, 2015. DOI: http://dx.doi.org/10.1016/j.nifoj.2015.04.014

TADAPANENI, R. K.; YANG, R.; CARTER, B.; TANG J. A new method to determine the water activity and the net isosteric heats of sorption for low moisture foods at elevated temperatures. Food Research International, 2017. DOI: http://dx.doi.org/10.1016/j.foodres.2017.09.070

TEIXEIRA, P. L.; T. DE ANDRADE, E.; DEVILLA, A. I. Isosteric heat, entropy, and gibbs free energy of pumpkin seeds (Cucurbita moschata). Engenharia Agrícola, 2018. DOI: http://dx.doi.org/10.1590/1809-4430-eng.agric.v38n1p97-102/2018

TSAI, S-Y.; HWANG, S-P.; LIN, C-P.; A kinetics study of coffee bean of roasting and storage conditions. Journal of Food Processing and Preservation, 2016. DOI: 10.1111/jfpp.13040

URIBE, L.; VEGA-GÁLVEZ, A.; DI SCALA, K.; OYANADEL, R.; TORRICO, S. J.; MIRANDA, M. Characteristics of Convective Drying of Pepino Fruit (Solanum muricatum Ait.): Application of Weibull Distribution. Food Bioprocess Technol, 2011. DOI: 10.1007/s11947-009-0230-y

VIGANÓ, J.; AZUARA, E.; TELIS, V. R. N.; BERISTAIN, C. I.; JIMÉNEZ, M. Role of enthalpy and entropy in moisture sorption behavior of pineapple pulp powder produced by different drying methods. Thermochimica Acta, 2012. DOI: 10.1016/j.tca.2011.11.011

VILLA-VÉLEZ, H. A.; VÁQUIRO, H. A.; BON, J.; TELIS-ROMERO, J. The effect of power-ultrasound on the pretreatment of acidifiedaqueous solutions of banana flower-stalk: Structural, chemicaland statistical analysis. Industrial Crops and Products 66 (2015) 52–61, 2015. DOI: http://dx.doi.org/10.1016/j.indcrop.2014.12.022

WEI, F.; TANOKURA, M. Chemical Changes in the Components of Coffee Beans during Roasting-Chapter 10. Coffee in Health and Disease Prevention, 2015. DOI: http://dx.doi.org/10.1016/B978-0-12-409517-5.00010-3

YOGENDRARAJAH, P.; SAMAPUNDO, S.; DEVLIEGHERE, F.; DE SAEGER, S.; DE MEULENAER, B. Moisture sorption isotherms and thermodynamic properties of whole black peppercorns (Piper nigrum L.). LWT - Food Science and Technology, 2015. DOI: http://dx.doi.org/10.1016/j.lwt.2015.05.045

Published

2019-03-28

How to Cite

COLLAZOS-ESCOBAR, G. A.; GUTIÉRREZ-GUZMAN, N.; VAQUIRO HERRERA, H. A. MODELING DYNAMIC ADSORPTION ISOTHERMS AND THERMODYNAMIC PROPERTIES OF SPECIALTY GROUND ROASTED-COFFEE (Coffee Arabica L.). Coffee Science - ISSN 1984-3909, v. 14, n. 1, p. 93 - 103, 28 Mar. 2019.

Issue

Section

Articles