Nitrogen and potassium in the intensitY of Bacterial Blight of coffee seedlings in nutrient solution

Authors

  • Cristian David Plaza Pérez Universidade Federal de Lavras
  • Edson Ampélio Pozza Universidade Federal de Lavras
  • Adélia Aziz Alexandre Pozza Universidade Federal de Lavras
  • Aurivan Soares Freitas Universidade Federal de Lavras
  • Marília Goulart Silva Universidade Federal de Lavras

DOI:

https://doi.org/10.25186/cs.v12i1.1210

Keywords:

Coffea arabica, epidemiology, Pseudomonas syringae pv. garcae, mineral nutrition

Abstract

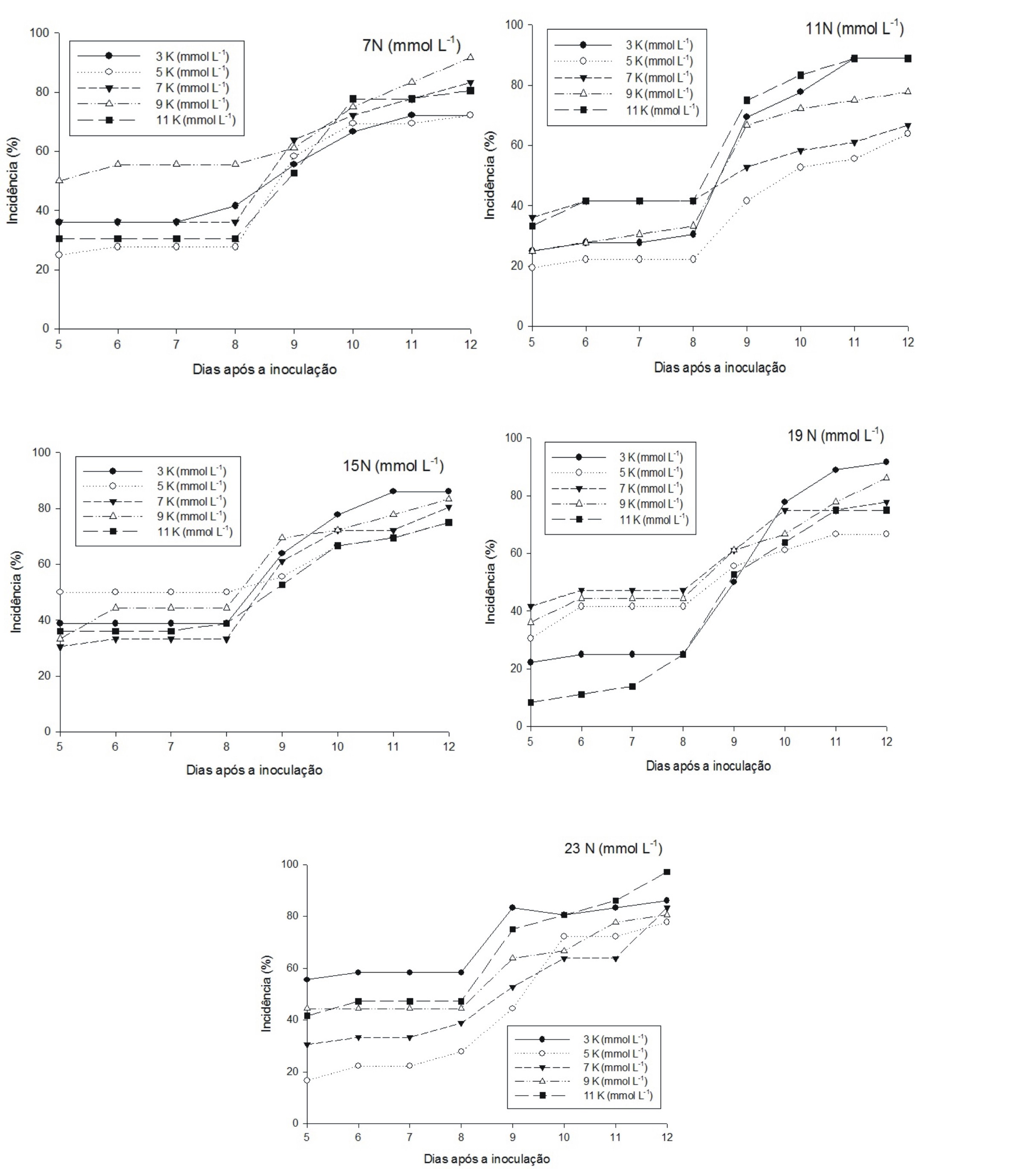
A balanced nutrition can aid in the control of the coffee diseases. Thus, the objective was to evaluate the effect of nitrogen and potassium fertilization in a growth chamber in assessing the intensity of bacterial blight. We used the susceptible cultivar Mundo Novo 376/4. The treatments consisted of five doses of N (3, 7, 11, 15 and 19 mmol L-1) combined with five doses of K (3, 5, 7, 9 and 11 mmol L-1) in a factorial 5 x 5, a total of 25 treatments and three replicates composed of two seedlings. The experimental design was completely randomized. The incidence and severity was assessment. Then, the area under disease progress curve of incidence (AUDPCI) and severity (AUDPCS) were calculated. There was a higher incidence of the disease (97.2%) in the combination of larger doses of N and K. There was a significant difference only for N in AUDPCS, dry mass of plant and chlorophyll a, b and total. The lower AUDPCS (7.79) was obtained with the dose 13.34 mmol L-1 N. There was a significant positive correlation to chlorophyll a, b and total with N and AUDPCS.

References

BELAN, L. L.; POZZA, E. A.; FREITAS, M. L.; SOUZA, R. M.; JESUS JUNIOR, W. OLIVEIRA, J. M. Diagrammatic scale for assessment bacterial blight in coffee. Journal of Phytopathology, Berlin, v. 162, p. 801-810, Apr. 2014.

CARRÉ-MISSIO, V.; RODRIGUES, F. A.; SCHURT, D. A.; PEREIRA, C. SANDRA.; OLIVEIRA, M, G.; ZAMBOLIN, L. Ineficiência do silício no controle da ferrugem do cafeeiro em solução nutritiva. Tropical Plant Pathology, Brasília, v. 34, n. 4, p. 416-421, 2009.

CUSTÓDIO, A.A.P.; POZZA, E.A.; CUSTÓDIO, A.A.P.; SOUZA, P.E.; LIMA, L.A.; LIMA, L.M. Intensidade da ferrugem e da cercosporiose em cafeeiro quanto à face de exposição das plantas. Coffee Science, Lavras, v. 5, n. 3, p. 214-228, set./dez. 2010.

DEBAEKE, P.; ROUET, P.; JUSTES, E. Relationship between the normalized SPAD index and the nitrogen nutrition index: application to Durum Wheat. Journal of Plant Nutrition, v.29, p.75-92, 2006.

DORNELAS, G.A.; POZZA, E.A.; SOUZA, P.E.; COSTA, V.R.; POZZA, A.A.A.; SANTOS, L,A. Nitrogen and potassium fertilization on the yield and intensity of the maize white spot. Rev. Ceres, Viçosa, v. 62, n.4, p. 351-359, jul-ago, 2015.

FERNANDES, A.LT., PARTELLI, F.L.; BONOMO, R.; GOLYNSKI, A. A moderna cafeicultura dos cerrados brasileiros. Pesqui. Agropecu. Trop. vol.42 no.2 Goiânia Apr./June 2012.

FERREIRA, D. F.SISVAR: um programa para análises e ensino de estatística. Revista Científica Symposium, Lavras, v. 6, n. 2, p. 36-41, jul./dez. 2008.

GARCIA JÚNIOR, D. POZZA, E, A.; POZZA, A. A. A.; SOUZA, P, E.; CARVALHO, J. G.; BALIEIRO, A. C. Incidência e severidade da cercosporiose do cafeeiro em função do suprimento de potássio e cálcio em solução nutritiva. Fitopatologia Brasileira, Brasília, v. 28, n. 3, p. 286-291, 2003.

GODOY, L. J. G.; SANTOS, T. S.; VILLAS BÔAS, R. L.; LEITE JÚNIOR, J. B. Índice relativo de clorofila e o estado nutricional em nitrogênio durante o ciclo do cafeeiro fertirrigado. Revista Brasileira de Ciência do Solo, Viçosa, v. 32, n. 1, p. 217-226, 2008.

HELBEL JUNIOR, C.; REZENDE, R.; FREITAS, P. S. L.; GONÇALVES, A. C. A.; FRIZONNE, J.A. Influência da condutividade elétrica, concentração iônica e vazão de soluções nutritivas na produção de alface hidropônica. Ciênc. Agrotec., Lavras, v. 32, n. 4, p. 1142-1147, jul./ago., 2008.

HOAGLAND, D. R.; ARNON, D. I. The water culture method for growing plants without soils. Berkeley: California Agricultural Experimental Station, 1950.

HUBER, D.M.; THOMPSON, I. A. Nitrogen and plant disease. In: Datnoff LE, Elmer WH, Huber DM (Eds.) Mineral nutrition and plant disease. Saint Paul MN. APS Press, p. 31-44 2007.

LIMA, L. M, POZZA, E. A, TORRES, H. N, POZZA, A. A, SALGADO M, PFENNING L. H. Relação nitrogênio/potássio com a mancha de Phoma e nutrição de mudas de cafeeiro em solução nutritiva. Tropical Plant Pathology, Brasília, v. 35, p. 223-228. 2010.

MARSCHNER, H. Mineral nutrition of higher plants. New York. Academic Press, 2012.

MATSUMOTO, S. N.; CARVALHO, F. M.; VIANA, A, E, S.; MALTA, R. M.; CASTRO, L.G. Initial growth of coffee plants (Coffea arabica L.) submitted to different phosphate doses in nutritive solution. COFFEE SCIENCE, Lavras, v. 3, n. 1, p. 58-67, jan./jun. 2008.

PERDIGÃO, P. C. N.; COSTA , R. N. T.; MEDEIROS, A. T.; SILVA, L. A.; SANTOS, M. D. S. Efeitos de níveis de água e adubação potássica no desenvolvimento do cajueiro anão-precoce, BRS - 189. Revista Brasileira de Ciências Agrárias, v.5, p.90-94, 2010.

PINHEIRO, J. B.; POZZA, E.A.; POZZA, A.A.; MOREIRA, A.S.; ALVES, M.C. Severidade da ferrugem da soja em função do suprimento de potássio e cálcio em solução nutritiva. Rev. Ceres, Viçosa, v. 58, n.1, p. 43-50, jan/fev, 2011.

POZZA, A. A. A. et al. Influência da nutrição mineral na intensidade da mancha-de-olho-pardo em mudas de cafeeiro. Pesquisa Agropecuária Brasileira, Brasília, v. 36, n. 1, p. 53-60, 2001.

REIS, A. R.; FURLANI JUNIOR, E.; BUZETTI, S.; ANDREOTTI, M. Diagnóstico da exigência do cafeeiro em nitrogênio pela utilização do medidor portátil de clorofila. Bragantia, Campinas, v. 65, n. 1, p. 163-171, 2006.

SALAZAR-ARIAS, N. Respuesta de plántulas de café a la fertilización com nitrógeno, fósforo y potasio. Cenicafé, Chinchiná, v. 28, n. 2, p. 61-66, 1997.

SANTOS, F.S.; SOUZA, P.E.; POZZA, E.A.; MIRANDA, J.C.; CARVALHO, E.A.; FERNANDES, L.E.; POZZA, A.A. Adubação orgânica, nutrição e progresso de cercosporiose e ferrugem do cafeeiro. Pesquisa Agropecuária Brasileira, Brasília, v. 43, n.7, p. 783-791, 2008.

SHANER, G.; FINNEY, R. E. The effect of nitrogen fertilization on the expression of slow-milde wing resistance in Knox wheat. Phytopathology, Saint Paul, v. 67, n. 3, p. 1051-1056, Feb. 1977.

SILVA, A. G. Histopatologia e influência de nutrientes na intensidade da bacteriose foliar do Eucalipto causada por Xanthomonas axonopodis. 2007. 71 p. Tese (Doutorado em Fitopatologia) – Universidade Federal de Viçosa, Viçosa, 2007.

Published

2017-03-30

How to Cite

PÉREZ, C. D. P.; POZZA, E. A.; POZZA, A. A. A.; FREITAS, A. S.; SILVA, M. G. Nitrogen and potassium in the intensitY of Bacterial Blight of coffee seedlings in nutrient solution. Coffee Science - ISSN 1984-3909, v. 12, n. 1, p. 60 - 68, 30 Mar. 2017.

Issue

Section

Articles